Med en datoriserad analys av fosterhjärtfrekvensen så kommer man ifrån en del av CTG-metodens svagheter såsom bristande överensstämmelse mellan olika CTG-bedömare och hos samma CTG-bedömare över tid. Den datoriserade analysen tar också hänsyn till fostrets aktuella graviditetslängd när den sammanfattar om registreringen uppfyller kriterierna för normalt. I nuläget kan datoriserad analys INTE användas intrapartalt.
Bakgrund
Utvecklingen av datoriserad analys av fosterhjärtfrekvens och kontraktioner började under 1980-talet av bl a forskarna Dawes och Redman. Den initiala versionen grundades på analys av 8000 foster, därav namnat System 8000. Forskargruppen har därefter utökat databasen till att omfatta minst 100 000 registreringar av fosterhjärtfrekvens i olika graviditetslängder vilka utgör grunden till att analysen sammanfattar vad som är inom normalintervallet. Datoriserat CTG med Dawes/Redman-algoritmen är enbart för antenatalt bruk – innan förlossningsstart.
Nyttan med metoden är dels praktisk – att den datoriserade tolkningen kan förkorta tidslängden på CTG-registreringen, och ännu viktigare så kan användningen av metoden potentiellt minska risken för att ett tillväxthämmat barn med kronisk hypoxi föds med metabol acidos eller dör intrauterint.
Det har sedan dess utvecklats ett flertal datoriserade system även för intrapartal datoriserad CTG-tolkning. Fem olika system kommersiellt tillgängliga för kliniskt bruk finns beskrivna i en review: Intellispace Perinatal, Omniview-SisPorto, PeriCALM, INFANT och Trium CTG Online. Samtliga förutom INFANT är kopplade till nationella eller FIGO-klassificeringar av CTG och har inbyggda larm för exv förändring av basalfrekvens, variabilitet, decelerationer och signalförlust. Inget system har hittills visat sig ge bättre utfall än traditionellt CTG. Då inget av dem används i Sverige nämns de inte vidare här.
Dawes-Redman-kriterierna
Vid datoriserad CTG-analys med D-R anges följande parametrar:
- Signalförlust (anges i % av registreringens längd)
- Fosterrörelser (anges per timme)
- Basal hjärtfrekvens
- Antal kontraktioner
- Antal accelerationer (amplitud/längd beroende på graviditetslängd)
- Antal decelerationer med en area på mer än 20 slag
- Sammanlagd längd (i minuter) på perioder med normal variabilitet (long term variation, LTV) (high episodes)
- Sammanlagd längd (i minuter) på perioder med låg variabilitet (low episodes)
- Korttidsvariabilitet (short term variation, STV)
Det anges även hur stor andel av foster vid den aktuella graviditetslängden som har lägre variabilitet (än det foster som man kört analysen på) och efter hur lång registrering som kriterierna uppfylldes.
För att D-R-kriterierna ska vara uppfyllda vid registreringens slut så ska basal hjärtfrekvens vara mellan 116 och160 slag per minut, det ska finnas minst en period med normal variabilitet och fosterrörelser eller accelerationer ska finnas. Vidare ska inga stora decelerationer förekomma, registreringen ska inte avslutas under en deceleration eller under pågående signalstörning, det ska inte finnas tecken till sinusoidal rytm och korttidsvariabiliteten ska vara mer än 3 millisekunder.

Exempel på utskrift vid datoriserad CTG-registrering med D-R.
Korttidsvariabilitet och hur den kan tolkas
Det är viktigt att förstå skillnaden mellan variabilitet och korttidsvariabilitet.
Variabilitet i fosterhjärtfrekvensen kan vi bedöma med blotta ögat, det är hjärtfrekvensens ”bandbredd” – skillnaden mellan min och max-frekvens under en minuts registrering och anges i slag per minut.

Exempel på hur variabiliteten mäts till 15 slag per minut.
Korttidsvariabiliteten kan vi däremot inte bedöma visuellt. Den kan endast räknas ut med datoriserat CTG som analyserar de små fluktuationer i hjärtfrekvensen som sker från hjärtslag till hjärtslag. Korttidsvariabilitet anger lite förenklat hur stor skillnad i tid det är mellan hjärtslagen och enheten är millisekunder till skillnad från variabilitet som anges i slag per minut.
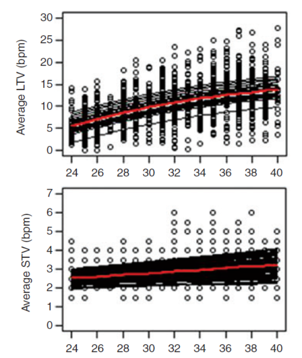
Parametrarna påverkar av naturliga skäl varandra, och båda stiger med tilltagande graviditetslängd.
Exempel på hur både variabiliteten (LTV) och korttidsvariabiliteten (STV) stiger med ökande graviditetslängd. (OBS i just denna forskningsstudie användes annan algoritm för STV än D-R med enheten slag per minut) (Från Amorim-Costa et al. J Perinat Med 2017)
Låg STV är förenat med ökad risk för såväl att födas med metabol acidos som ökad risk för intrauterin fosterdöd. De ursprungliga studierna som visade på sambandet utfördes på 90-talet och har givit upphov till de gränser som brukar relateras till kliniskt vid övervakning av exv tillväxthämmade foster hos kvinnor med preeklampsi o.d.
|
STV (msec) |
< 2.6 |
2.6-3.0 |
> 3.0 |
|
Gestationsålder |
25-38 |
26-38 |
27-37 |
|
Metabol acidos |
10.3 % |
4.3 % |
2.7 % |
|
IUFD |
24.1 % |
4.3 % |
0.0 % |
Ref: Street AJOG 1991, Dawes Obstet Gynecol 1992
Senare studier såsom Truffle I (1 reds anm.) visade att även om det på kort sikt var fördelaktigt att ta beslut om prematur-förlossning utifrån STV-nivåer så var barnutfallet vid 2-årsuppföljning bättre om man inväntade allvarlig flödespåverkan i ductus venosus hos fostren innan beslut. STV och datoriserat CTG är ett övervakningsverktyg som bör användas i kombination med ultraljudsmässiga fynd och beslut om exspektans med fortsatt övervakning eller att barnet bör födas prematurt med kejsarsnitt.
Användningsområde för datoriserat CTG
Datoriserat CTG kan användas när det finns indikation för CTG-övervakning under graviditet, dvs när det är en riskgraviditet med ökad risk för fostret.
I tabellen anges några exempel.
|
Maternella sjukdomar |
Graviditetskomplikationer |
Fetala orsaker |
|
Hjärtsjukdom |
Preeklampsi |
Minskade fosterrörelser |
|
Lungsjukdom |
PPROM |
Tillväxthämning |
|
Njursjukdom |
Prolongerad graviditet |
Infektion |
|
Diabetes |
Graviditetsdiabetes |
Flerbörd |
|
Autoimmun sjukdom |
Buktrauma |
Fosterarytmi |
|
Hypertoni |
Hotande förtidsbörd |
oligohydramnios |
|
Vaginal blödning |
Användningsområden och rutiner skiljer sig mellan olika kvinnokliniker i Sverige och därigenom även vanan vid att bedöma resultat och undersökningssvar. Vid polikliniska besök pga minskade fosterrörelser så kan metoden förkorta CTG-registreringens längd och vara ett beslutsstöd, men det kan aldrig ersätta CTG-bedömarens egen kunskap om fosterhjärtfrekvens och fosterfysiologi.
Vid inneliggande vård och övervakning av tillväxthämmade foster kan metoden vara ett beslutstöd i timing av förlossning i övervägandet av risker för IUFD kontra risker för komplikationer av att födas prematurt. Beslut bör dock aldrig tas enbart utifrån datoriserade CTG-resultatet utan i kombination med andra undersökningsfynd, helhetssyn och i dialog med obstetriker, neonatologer och de blivande föräldrarna.
Nu är det här avsnittet slut. Klicka på länkarna nedan eller använd menyn för att fortsätta:
